關于清退預收電費的公告
關于清退預收電費的公告
尊敬的用電客戶:
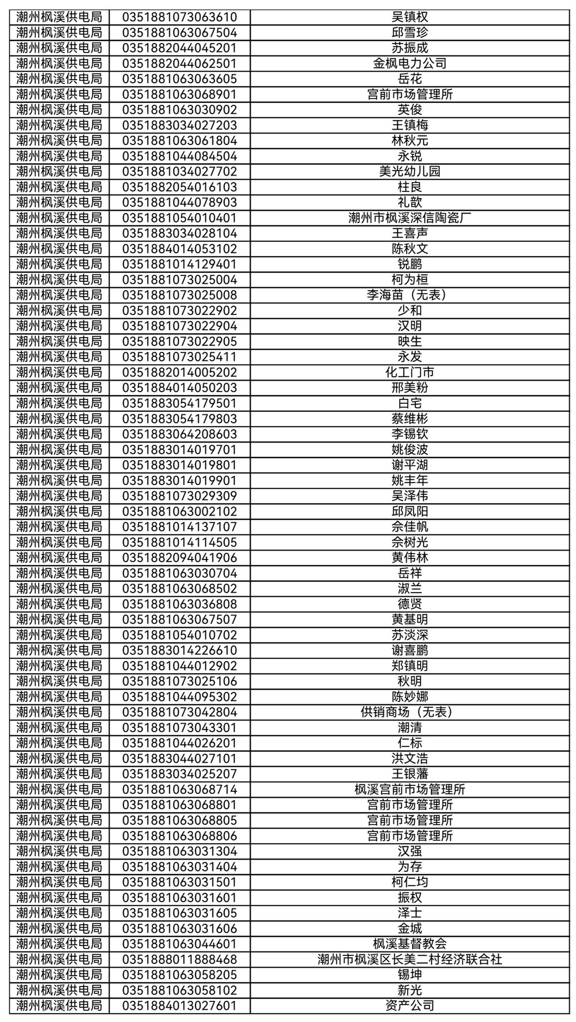
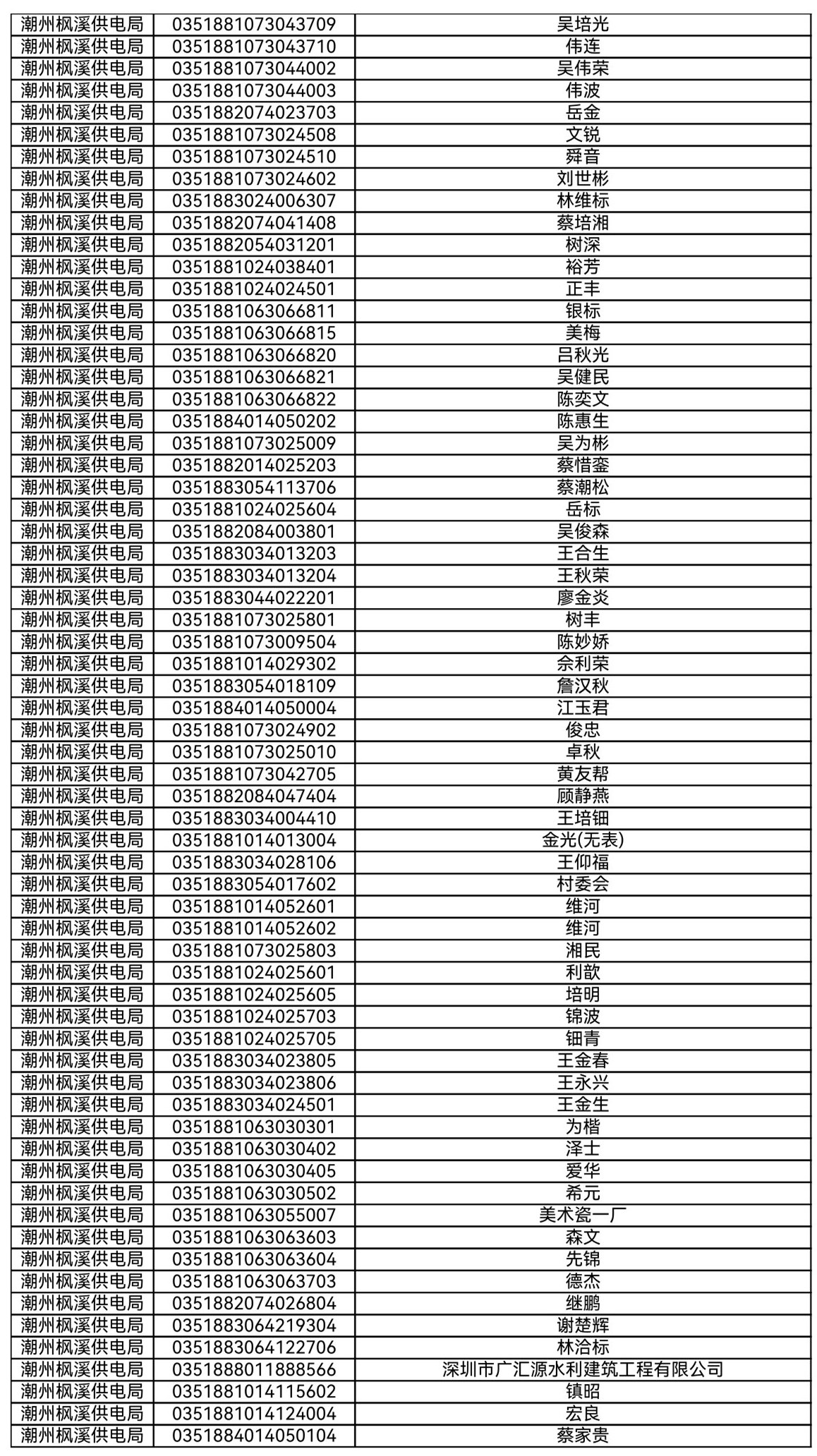
根據《供電營業規則》,用戶銷戶時,供用電雙方應結清電費。截至目前,因無法取得聯系等原因,部分用戶未前往供電局辦理預收電費余額退費手續。請相關用電客戶于2025年4月10日起90日內憑繳費信息、身份證、繳費銀行卡等資料,前往屬地供電所營業廳辦理預收電費退費手續。具體事宜請致電供電客戶經理或前往當地供電營業廳咨詢。
逾期未辦理的,按照相關法律規定及國家相關政策處理。特此公告。















廣東電網有限責任公司潮州供電局
2025年4月10日
來源|潮州供電局
編輯|蔡楊
審核|詹樹鴻