潮州市高級實驗學校新生搖號結果出爐
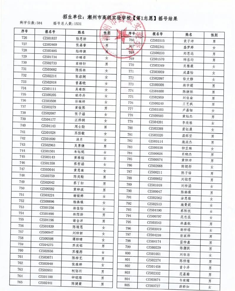
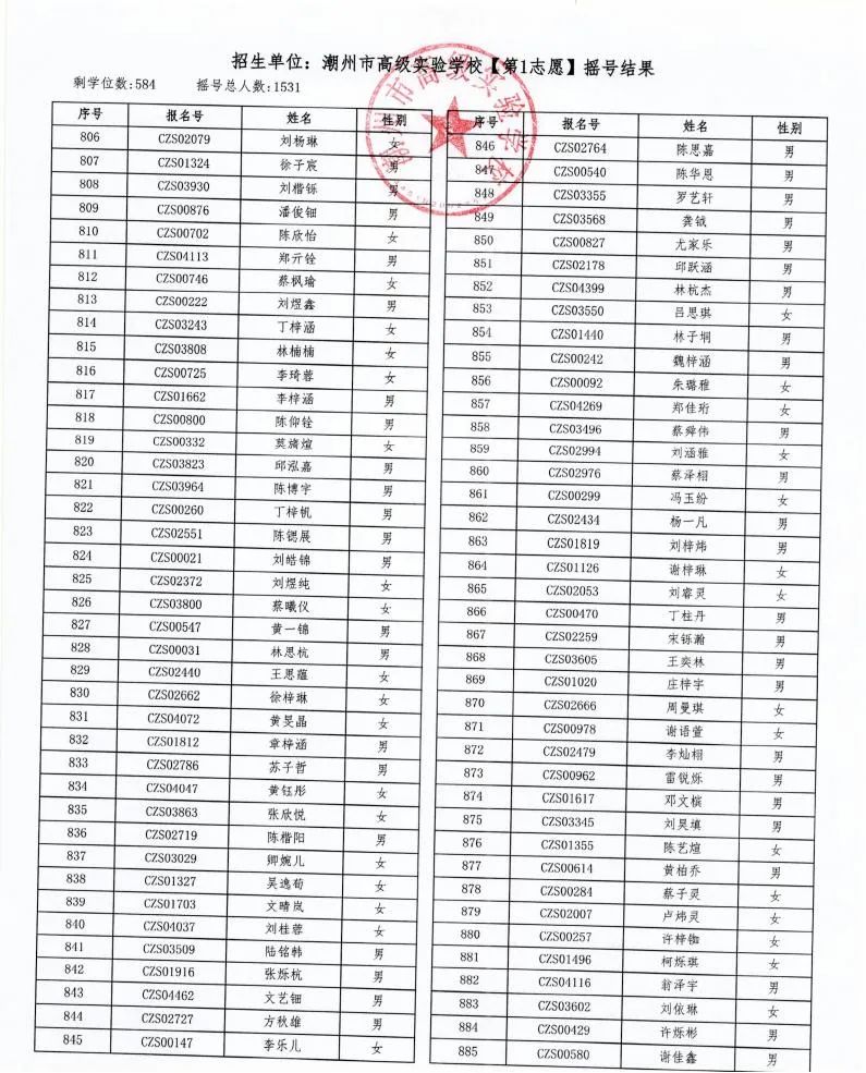
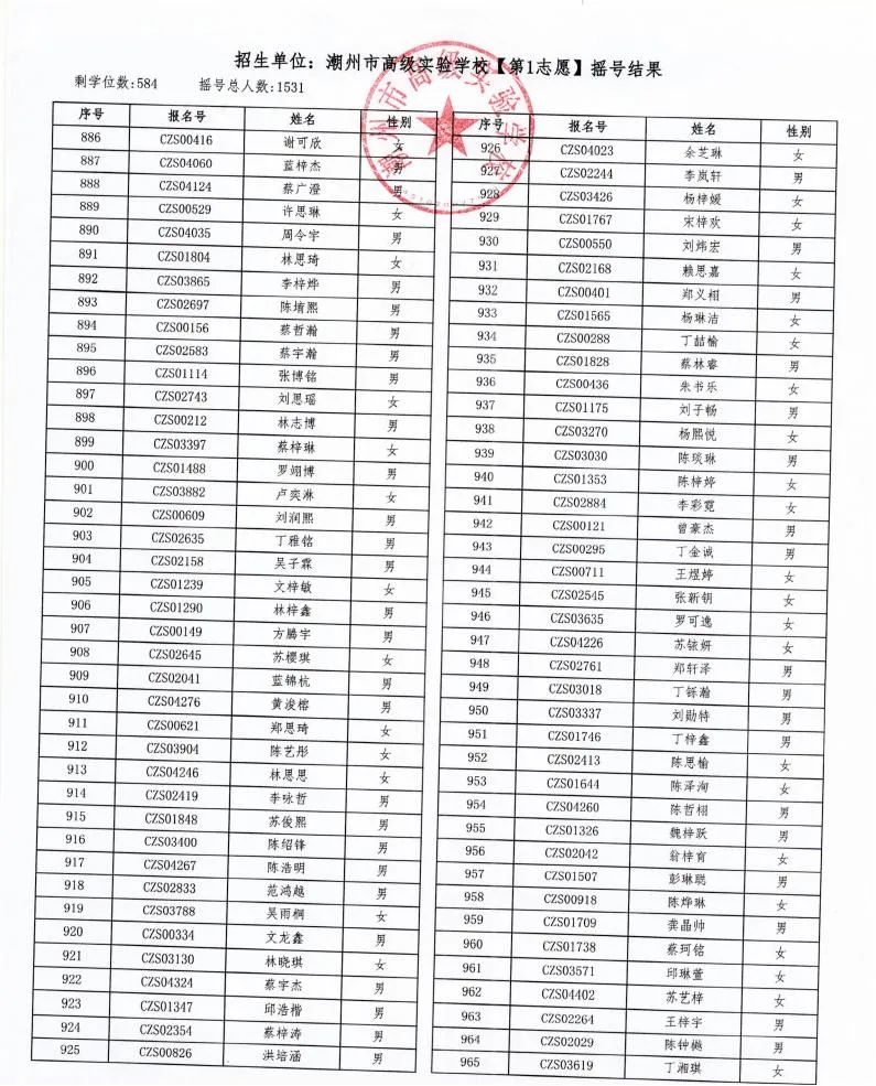
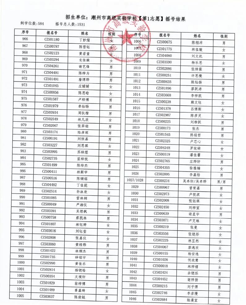
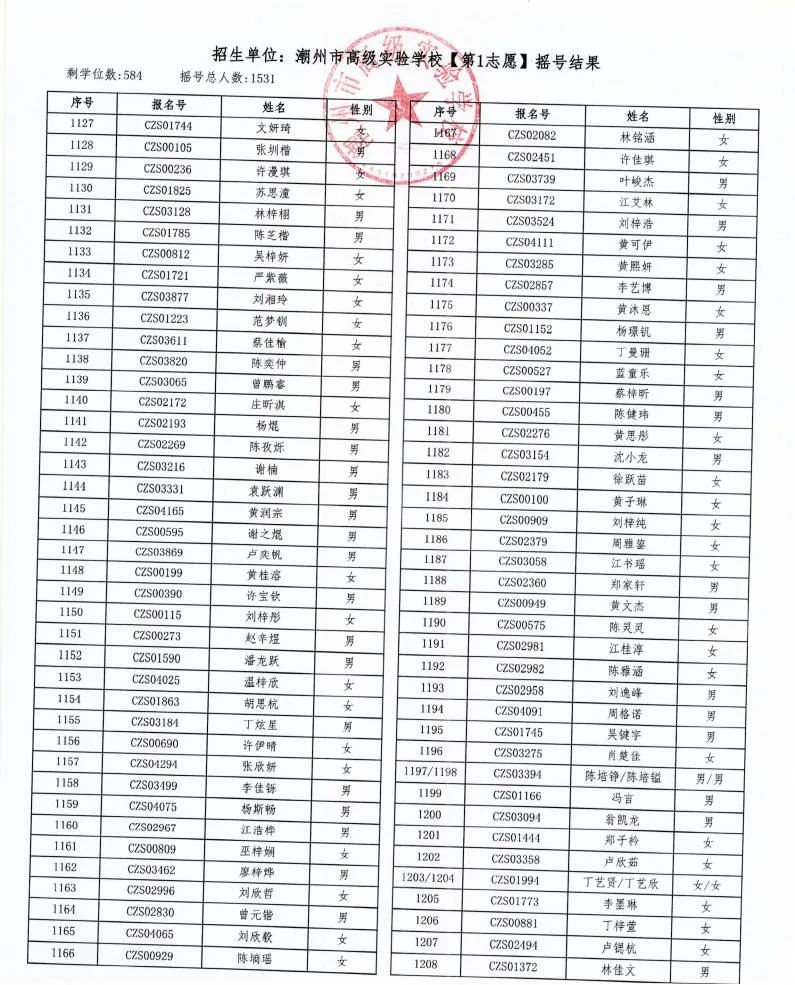
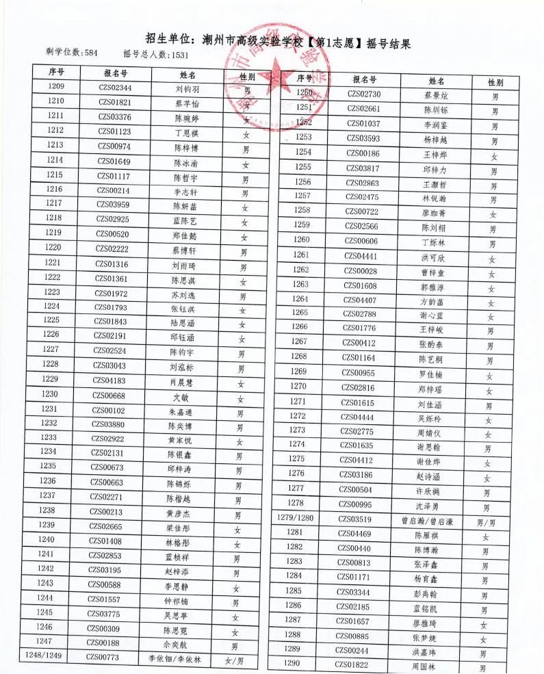
7月18日,潮州市金山實驗學校、潮州市高級實驗學校、湘橋區城南實驗中學、湘橋區城基實驗中學4所初中公開搖號招生同時進行,潮州市高級實驗學校搖號結果出爐。
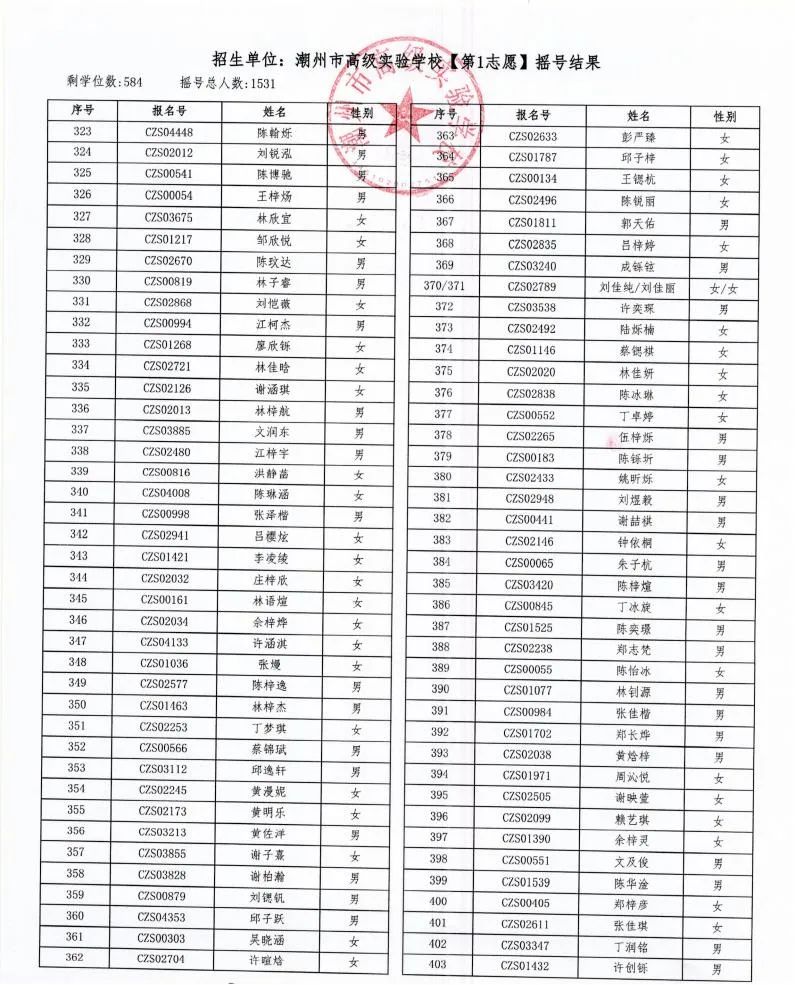
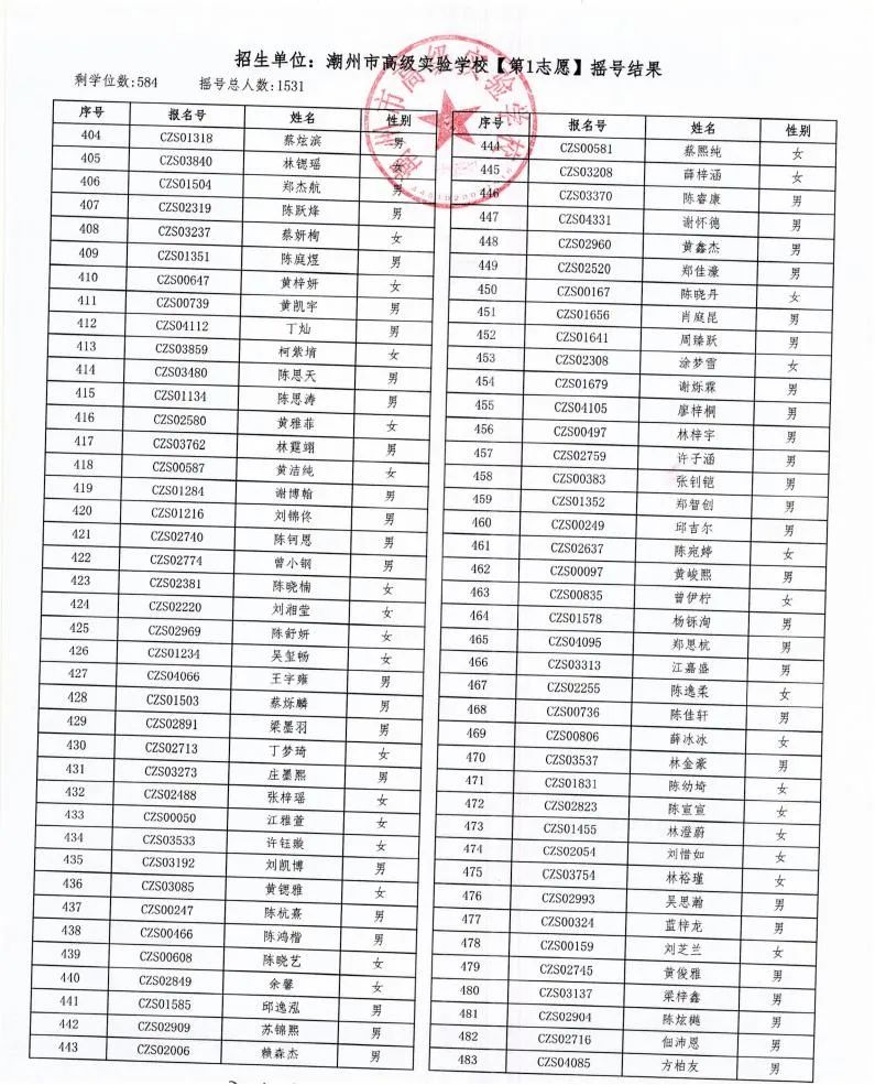
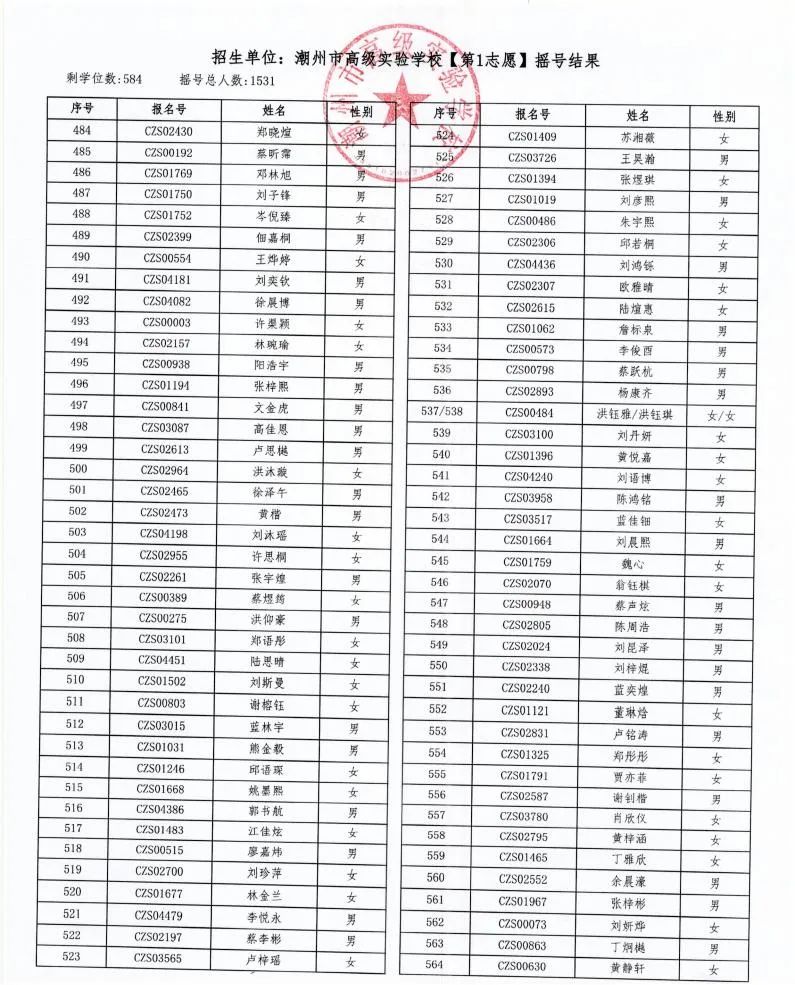
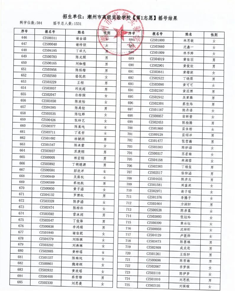
前584名擬錄取為該校新生。



















2025年潮州市金山實驗學校、市高級實驗學校、城南實驗中學、城基實驗中學新生搖號招生規則
潮州市金山實驗學校、市高級實驗學校、城南實驗中學、城基實驗中學于7月11日—13日接受學生網上報名,本次報名4491人次,總共4522人(含雙胞胎31對,其中潮州市金山實驗學校10對、市高級實驗學校13對、城南實驗中學7對,城基實驗中學1對)。
7月14日—16日,4所學校對網上報名學生進行資格審核,經審核,符合資格條件可參加搖號4373人次,總共4404人(含雙胞胎31對,其中:潮州市金山實驗學校10對、市高級實驗學校13對、城南實驗中學7對、城基實驗中學1對)。
本次搖號按報名志愿的順序,從第一志愿起依次逐校進行隨機搖號,按正式搖號結果名單順序號由低號到高號依次錄取,額滿為止。4所學校第一志愿審核通過人數均超過該校的可搖號學位數,只在填報第一志愿審核通過的學生中搖號錄取,其他志愿不必搖號。搖中的雙胞胎占據2個錄取名額,若雙胞胎剛好搖中最后一個名額,則該校錄取數增加1人。
獲得錄取資格的學生,可于7月19日憑報名表(學生聯)到錄取學校注冊學籍,規定時間內不注冊的視為自動放棄錄取,空余名額按正式搖號結果順序號由低號到高號依次遞補。學生一經注冊不能再參加其他批次學校的招錄。
來源|潮州市高級實驗學校
編輯|張澤慧
審核|詹樹鴻